
新一代代码模子的磨练动态已与旧模子截然相背,主流强化学习顺次和数据集在其上险些“失效”。
微软亚洲询查院与剑桥大学、普林斯顿聚会推出MicroCoder,从算法、数据、框架、磨练教养四个维度全面升级,在最新代码测试集上取得彰着莳植,并从七个方面开源了34条磨练瞻念察。

配景:旧教养遇上新模子,为何险些一谈“失效”?
强化学习正在成为代码大模子才能莳植的中枢旅途。以GRPO为代表的计策优化顺次在数学推理任务上积贮了精深见效教养,东谈主们当然地把这套顺次迁徙到了代码生成上。
然则询查者很快发现了一个风物:用DeepCoder这类主流数据集磨练最新推理模子,性能险些莫得莳植;而相通的作念法在当年版块的模子上却有显耀成果。
这背后的原因是代际性的:最新推理模子的才能也曾超出了主流数据集的难度,这些题目对它而言过于简单,无法产生灵验的学习。与此同期,最新推理模子在磨练中输出长度抓续增长,而旧模子的输出长度踏实致使下落,两代模子的磨练动态也曾截然相背,专为旧模子策画的磨练顺次在新模子上不再适用。
针对这一磨练瓶颈,来自微软亚洲询查院、剑桥大学和普林斯顿大学的询查团队提倡了MicroCoder式样,包含四个中枢孝顺:MicroCoder-GRPO算法、MicroCoder-Dataset数据集、MicroCoder-Evaluator磨练评估框架,以及跨杰出30组受控实验转头的34条磨练教养。

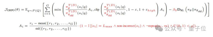
算法:MicroCoder-GRPO
MicroCoder-GRPO在GRPO基础上引入三项修改,迥殊轻率当代代码模子的磨练动态。
修改一:条款截断掩码
强化学习磨练中,被最大长度截断的输出若参与计策优化,会指挥模子生成更短的输出。为此,DeepCoder等顺次接受“一谈掩码”计策,对悉数达到最大长度的输出齐将上风分数置零,但这会导致输出长度增长过快。
MicroCoder-GRPO提倡了更淡雅的条款截断掩码:只对同期得志四个条款的输出实行掩码,达到最大长度、谜底非造作、无尾部重叠序列、且以特定概率就地抽取。实验标明,这一计策灵验解锁了模子的长输出后劲,同期侧目了全掩码计策带来的磨练问题,最终拘谨性能高于无掩码和全掩码两种决议。
修改二:各样性驱动的温度选拔
输出各样性是强化学习踏实磨练的要害目的。询查发现:在固定温度下,各样性不会总随磨练进行抓续变动,而是不同温度下会最终拘谨到附进水平;而一朝开动各样性与预期拘谨值收支较大,模子的磨练成容易受到影响。传统尺度温度对最新推理模子而言较低,容易因此产生影响。
MicroCoder-GRPO提倡凭据模子开动输出各样性动态细目磨练温度:测量开动各样性趋势,选拔能使各样性沉稳拘谨的温度值。著述还发现“先低温后高温”的分阶段顺次优于全程固定温度,但需幸免连结的温渡过渡,即等于旋即的渐变也可能对各样性变成影响。
修改三:去除KL散度+高编订比率
沿用DAPO的策画想路,MicroCoder-GRPO将KL散度权重设为0,并接受更高的编订比率。实考据明,保留KL散度会抓续影响输出各样性、好意思满输出长度增长,导致性能“先涨后跌”;去除后,模子赢得抓续的性能莳植。
三项修改共同作用下,滚球(中国)官网appMicroCoder-GRPO在最新代码测试集上比拟DAPO基线取得彰着莳植,且在拓展测试崎岖文长度时更为显耀。

数据:MicroCoder-Dataset
算法以外,数据难度亦然代码模子才能的进攻影响身分。
四阶段数据处理活水线
MicroCoder-Dataset的构建分四个阶段:“相聚”从多元平台相聚果然竞赛题目;“处理”结伴话语、去噪、模样尺度化,并用LLM自动生成和筛选测试用例;“筛选”实施软硬经管及自适合难渡过滤;“考据”进行东谈主工抽查确保可读性和测试用例准确性。
自动难渡过滤:权衡-校准-选拔
难渡过滤是MicroCoder-Dataset的中枢翻新。询查团队策画了一套五维难度评估矩阵,由LLM对每谈题进行三次孤独打分,取平均后计较加权难度分。
这五个维度的权重策画有其表面依据,参考了Bloom评释方针分类法、McCabe和Halstead顺次,将重点放在真确老练推理和编程才能的维度上,而非语义意会和驰念。
随后,以模子履行通过率为基准对权衡分进行校准,在LiveCodeBench数据集上细目易、中、难的分界值,权衡漫衍与履行漫衍险些实足吻合。过滤后,简单题占比降至25%以下,贫瘠题占比莳植至50%以上。
数据集脾气
最终,MicroCoder-Dataset包含杰出13K经严格筛选的果然竞赛题,一谈来自履行竞赛平台而非LLM生成。聚类分析标明各平台题目互补,与测试集之间莫得重合。
成果对比
在疏导磨练下,MicroCoder-Dataset在300步磨练内取得的性能增益是DeepCoder数据集的3倍。以DAPO磨练最新推理模子为例,比拟DeepCoder,IM体育MicroCoder在LeetCode上合座莳植约6.0个百分点,难度越高,增益越彰着。

磨练评估框架:MicroCoder-Evaluator
代码评估的准确性径直决定强化学习的质地。
问题:原版评估器的误判
LiveCodeBench原版评估器接受严格精准匹配计策:径直等值比较、精准浮点计较、仅作念基本空缺去除。这种形态会将精深模样正确但略有各别的正确谜底判为造作,举例复返列表与元组的模样各别、浮点精度各别,产生噪声,打扰磨练。
管理决议:多顺次回退的轮廓考据
MicroCoder-Evaluator接受6-7种顺次构成的回退链进行轮廓输出考据,按次尝试不同的比较计策:撑抓列表、元组、字符串、荟萃等模样的自动类型诊治;进行浮点雷同比较;多行分割与空缺程序化等预处理;单个顺次失败后自动切换至下一种顺次,全程高容错。
成果
与LiveCodeBench原版评估器比拟,MicroCoder-Evaluator将评估准确率莳植约25%,即更准确地识别了正确解法的变体,减少了误判噪声。磨练弧线对比走漏,使用MicroCoder-Evaluator的模子在早期磨练阶段不错赢得更可靠的学习响应,最终测试准确率更高且拘谨更快。
此外,通过优化并行处理计策,MicroCoder-Evaluator将每个磨练才能的实行速率莳植约40%,显耀莳植了磨练服从。
磨练瞻念察:34条跳跃七大维度的教养
MicroCoder式样通过杰出30组受控实验完满地纪录了当代代码模子强化学习磨练中的教养,遮蔽七大维度,以下列出各维度的中枢瞻念察:
代码评估器:评估准确性对磨练成果影响显耀,尤其在早期阶段。高容错评估带来更可靠的收尾响应,能灵验退避次优拘谨。原版LiveCodeBench评估器的严格匹配计策会产生误判,在磨练初期产生影响。
温度动态:模子对温度的鲁棒性随磨练进行而增强。不同温度下,输出各样性变化但最终拘谨到附进水平。当开动各样性低于拘谨预期时,可能导致磨练失败。
磨练数据:数据难度影响泛化才能。在简单数据集上说明优秀并不料味着在测试集上相通优秀,惟有挑战性更高的磨练问题才能带来真确的泛化莳植。更难的问题会促使模子生成更长的解题旅途,输出长度增长速率和最终长度均更大。
崎岖文长度与膨胀:更长的最大输出与更高的最终准确率、更快的输出增长和更高的各样性径直关系。早期磨练阶段的输出长度好意思满会产生“不成逆”影响,一朝模子在短输出好意思满下磨练有余长技巧,后续即便增大崎岖文,性能也无法实足还原。
截断掩码计策:掩码比例在磨练速率与峰值性能之间形成均衡,更高的掩码比例能更快达到开动峰值,但较低的掩码比例能延迟飞腾阶段并达到更高的峰值。30%的条款掩码在输出长度增长速率上已接近全掩码,同期显耀优于全掩码在磨练踏实性等方面的说明。
批大小与在线磨练:较小的磨练批大小产生更接近在线磨练的动作,加速各样性拘谨,但影响磨练踏实性;较大的批大小产生离线磨练动作,踏实性更强。最优选拔来自两者之间的均衡。
KL散度与编订比率:尺度KL散度会抓续影响输出各样性并好意思满输出长度增长,形成“性能先涨后跌”的模样。去除KL散度是撑抓长久抓续性能莳植的进攻条款。
完满的34条瞻念察已在式样主页的MicroCoder-Insights博客中完满整理,遮蔽每个维度的具体实验和论断,是现在最为完满的当代代码模子强化学习磨练教养库之一。
式样价值
代码大模子的强化学习磨练长久鉴戒数学推理任务的教养。MicroCoder初度完满提倡,这一迁徙旅途存在代际断层,不同模子世代之间,磨练动态、数据需求与算法策画的灵验假定已发生质变而非量变,崎岖了该边界固有瓦解,明确了新一代代码模子的询查地方。
在算法策画层面,条款截断掩码与各样性驱动温度选拔,对强化学习磨练中磨练踏实性与计策探索性之间的均衡提倡了可实行的兼顾决议,具有超出代码生成任务自己的顺次论参考价值。
本式样通过杰出三十组受控实验完满整理34条磨练教养与瞻念察,遮蔽算法、数据、评估、崎岖文、温度等七大中枢维度,是现在代码大模子后磨练边界最为完满、灵验的常识千里淀之一,对询查内容的整理共享是模子磨练社区最有影响力的开源式样之一。

作家先容:

MicroCoder第一作家李宗谦,剑桥大学当然话语处理博士生,剑桥信赖学者,剑桥外洋生全额博士奖学金,在微软亚洲询查院完成系列职责。他在微软、谷歌、红杉、真格等有实习职责资格,2025年完成一作论文9篇,发表于NeurIPS、ACL等会议,参与职责发表Nature,对学界、业界、创业有浓厚酷爱,是现时诳言语模子边界值得眷注的年青询查员。
式样主页:https://github.com/ZongqianLi/MicroCoder算法论文:https://arxiv.org/abs/2603.07777数据集论文:https://arxiv.org/abs/2603.07779磨练教养博客:https://github.com/ZongqianLi/MicroCoder/blob/main/MicroCoder-Insights.mdIM体育官方网站
乐鱼体育官方网站